728x90

AI 13

Learning rate, Data preprocessing, Overfitting

Sung Kim님(김성훈 교수님)의 유튜브를 보고 공부한 AI 입니다. Sung Kim님(김성훈 교수님)의 유튜브 주소 : www.youtube.com/channel/UCML9R2ol-l0Ab9OXoNnr7Lw Sung Kim 컴퓨터 소프트웨어와 딥러닝, 영어등 다양한 재미있는 이야기들을 나누는 곳입니다. www.youtube.com Leraning rate Learning rate는 Gradient descent를 줄이는데 사용되어져 왔습니다. 하지만 Learning rate의 수치에 따라 문제점이 발생합니다. Learning rate가 너무 클 경우에는 overshooting이 발생하게 됩니다. overshooting이란 cost가 줄어들지 않고 들쑥 날쑥해 최소 값을 찾지 못하는 경우입니다. 또한 ..

학습(구)/AI 2020.11.26

Multinomial classification - SoftMax 실습

Sung Kim님(김성훈 교수님)의 유튜브를 보고 공부한 AI 입니다. Sung Kim님(김성훈 교수님)의 유튜브 주소 : www.youtube.com/channel/UCML9R2ol-l0Ab9OXoNnr7Lw Sung Kim 컴퓨터 소프트웨어와 딥러닝, 영어등 다양한 재미있는 이야기들을 나누는 곳입니다. www.youtube.com import tensorflow as tf import numpy as np 먼저 필요한 모듈인 tensorlow와 numpy 를 import 시켜 줍니다. x_raw = [[1, 2, 1, 1], [2, 1, 3, 2], [3, 1, 3, 4], [4, 1, 5, 5], [1, 7, 5, 5], [1, 2, 5, 6], [1, 6, 6, 6], [1, 7, 7, 7]] y..

학습(구)/AI 2020.11.10

Multinomial classification - SoftMax

Sung Kim님(김성훈 교수님)의 유튜브를 보고 공부한 AI 입니다. Sung Kim님(김성훈 교수님)의 유튜브 주소 : www.youtube.com/channel/UCML9R2ol-l0Ab9OXoNnr7Lw Sung Kim 컴퓨터 소프트웨어와 딥러닝, 영어등 다양한 재미있는 이야기들을 나누는 곳입니다. www.youtube.com Multinomial classification은 여러개의 클래스가 존재하여 구분하는 것입니다. 각 클래스의 구분은 독립적으로 구분할 수 있습니다. 이 클래스들의 값들은 하나의 Matrix로 표현할 수 있으며 표현과 계산이 간단해집니다. 그러나 이때 결과로 나온 값은 각 클래스들의 값을 나타냅니다. 각 값들은 상수 값이 나오기 때문에 sigmoid를 적용하여 0~1의 값을 ..

학습(구)/AI 2020.11.10

Logistic classification 실습

Sung Kim님(김성훈 교수님)의 유튜브를 보고 공부한 AI 입니다. Sung Kim님(김성훈 교수님)의 유튜브 주소 : www.youtube.com/channel/UCML9R2ol-l0Ab9OXoNnr7Lw Sung Kim 컴퓨터 소프트웨어와 딥러닝, 영어등 다양한 재미있는 이야기들을 나누는 곳입니다. www.youtube.com import tensorflow as tf x_data = [[1, 2], [2, 3], [3, 1], [4, 3], [5, 3], [6, 2]] y_data = [[0], [0], [0], [1], [1], [1]] 필요한 모듈을 import하고 dataset을 지정합니다. tf.model = tf.keras.Sequential() tf.model.add(tf.keras...

학습(구)/AI 2020.10.04

Logistic classification

Sung Kim님(김성훈 교수님)의 유튜브를 보고 공부한 AI 입니다. Sung Kim님(김성훈 교수님)의 유튜브 주소 : www.youtube.com/channel/UCML9R2ol-l0Ab9OXoNnr7Lw Sung Kim 컴퓨터 소프트웨어와 딥러닝, 영어등 다양한 재미있는 이야기들을 나누는 곳입니다. www.youtube.com Logistic classification은 Binary Classification으로 2개중 1개를 선택하는 것입니다. 예를 들어 이메일에서는 Spam or Ham으로 구분합니다. 이를 컴퓨터가 알 수 있게 0과 1로 인코딩을 합니다. 그러나 기존 Linear regression을 이용할 경우 문제가 생깁니다. 해당 그림을 보면 기울기에 따라 pass 지점과 fail 지점..

학습(구)/AI 2020.10.04

Multi-variable linear regression 실습

Sung Kim님(김성훈 교수님)의 유튜브를 보고 공부한 AI 입니다. Sung Kim님(김성훈 교수님)의 유튜브 주소 : www.youtube.com/channel/UCML9R2ol-l0Ab9OXoNnr7Lw Sung Kim 컴퓨터 소프트웨어와 딥러닝, 영어등 다양한 재미있는 이야기들을 나누는 곳입니다. www.youtube.com import tensorflow as tf import numpy as np x_data = [[73., 80., 75.], [93., 88., 93.], [89., 91., 90.], [96., 98., 100.], [73., 66., 70.]] y_data = [[152.], [185.], [180.], [196.], [142.]] 모델생성과 학습을 하는데 필요한 모듈을..

학습(구)/AI 2020.10.04

Multivariable linear regression

Multivariable은 1개가 아닌 2개 이상의 variable을 가진 dataset을 의미합니다. 일반적인 1 대 1 이였던 가설은 H(x) = Wx + b입니다. 그러나 2개이상의 variable을 가진 dataset의 가설은 H(x1,x2,x3) = w1x1 + w2x2 + w3x3 + b 입니다. cost를 구하는 공식은 다음과 같습니다. x가 여러개일경우 wx의 개수는 x의 개수만큼 늘어나게 됩니다. 그래서 이를 편리하게 하기 위해 Matrix 개념을 사용합니다. Matrix를 가설 공식화 하면 H(x) = xW가 됩니다. 행렬이라고도 하며 행렬의 행을 instance라고 하고 열을 var이라고 합니다. 많은 값을 Matrix로 구성하여 계산을 하면 간편하게 계산이 가능합니다. 첫번째 Mat..

학습(구)/AI 2020.09.10

Linear Regression minimize cost

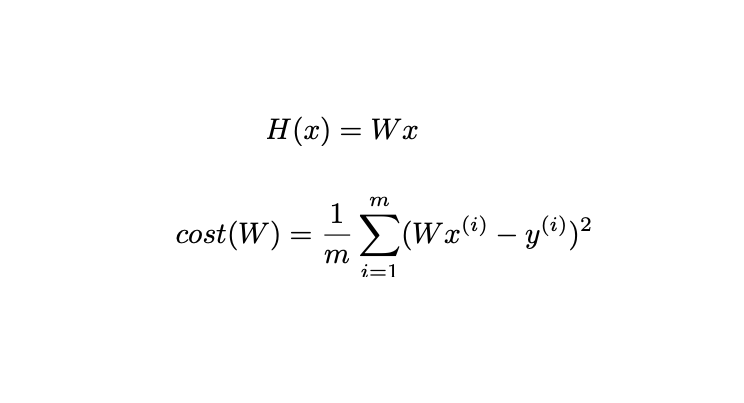
Sung Kim님(김성훈 교수님)의 유튜브를 보고 공부한 AI 입니다. Sung Kim님(김성훈 교수님)의 유튜브 주소 : www.youtube.com/channel/UCML9R2ol-l0Ab9OXoNnr7Lw Sung Kim 컴퓨터 소프트웨어와 딥러닝, 영어등 다양한 재미있는 이야기들을 나누는 곳입니다. www.youtube.com cost를 구하는 공식을 간단히 해보겠습니다. 이 공식을 토대로 W를 임의의 수를 지정하고 data set을 가지고 대입하여 그래프를 그려보겠습니다. X Y 1 1 2 2 3 3 해당 그래프에서 cost의 최저점인 곳을 찾는 것이 목표입니다. 0이므로 W는 1이 최저점이고 목표로 한 값입니다. GD(Gradient Descent) : 경사 감소 알고리즘으로써 최소 값을 찾는..

학습(구)/AI 2020.09.06

Linear Regression 실습

Sung Kim님(김성훈 교수님)의 유튜브를 보고 공부한 AI 입니다. Sung Kim님(김성훈 교수님)의 유튜브 주소 : www.youtube.com/channel/UCML9R2ol-l0Ab9OXoNnr7Lw Sung Kim 컴퓨터 소프트웨어와 딥러닝, 영어등 다양한 재미있는 이야기들을 나누는 곳입니다. www.youtube.com import tensorflow as tf #tensorflow 사용을 위해 import import numpy as np #numpy 사용을 위해 import tensorflow와 배열생성을위한 numpy를 import 합니다. x_train = [1,2,3,4] y_train = [0,-1,-2,-3] #학습에 사용할 Data set 구성 학습에 사용할 data set을..

학습(구)/AI 2020.09.06