728x90

TensorFlow 5

Logistic classification 실습

Sung Kim님(김성훈 교수님)의 유튜브를 보고 공부한 AI 입니다. Sung Kim님(김성훈 교수님)의 유튜브 주소 : www.youtube.com/channel/UCML9R2ol-l0Ab9OXoNnr7Lw Sung Kim 컴퓨터 소프트웨어와 딥러닝, 영어등 다양한 재미있는 이야기들을 나누는 곳입니다. www.youtube.com import tensorflow as tf x_data = [[1, 2], [2, 3], [3, 1], [4, 3], [5, 3], [6, 2]] y_data = [[0], [0], [0], [1], [1], [1]] 필요한 모듈을 import하고 dataset을 지정합니다. tf.model = tf.keras.Sequential() tf.model.add(tf.keras...

학습(구)/AI 2020.10.04

Multivariable linear regression

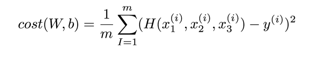
Multivariable은 1개가 아닌 2개 이상의 variable을 가진 dataset을 의미합니다. 일반적인 1 대 1 이였던 가설은 H(x) = Wx + b입니다. 그러나 2개이상의 variable을 가진 dataset의 가설은 H(x1,x2,x3) = w1x1 + w2x2 + w3x3 + b 입니다. cost를 구하는 공식은 다음과 같습니다. x가 여러개일경우 wx의 개수는 x의 개수만큼 늘어나게 됩니다. 그래서 이를 편리하게 하기 위해 Matrix 개념을 사용합니다. Matrix를 가설 공식화 하면 H(x) = xW가 됩니다. 행렬이라고도 하며 행렬의 행을 instance라고 하고 열을 var이라고 합니다. 많은 값을 Matrix로 구성하여 계산을 하면 간편하게 계산이 가능합니다. 첫번째 Mat..

학습(구)/AI 2020.09.10

Linear Regression 실습

Sung Kim님(김성훈 교수님)의 유튜브를 보고 공부한 AI 입니다. Sung Kim님(김성훈 교수님)의 유튜브 주소 : www.youtube.com/channel/UCML9R2ol-l0Ab9OXoNnr7Lw Sung Kim 컴퓨터 소프트웨어와 딥러닝, 영어등 다양한 재미있는 이야기들을 나누는 곳입니다. www.youtube.com import tensorflow as tf #tensorflow 사용을 위해 import import numpy as np #numpy 사용을 위해 import tensorflow와 배열생성을위한 numpy를 import 합니다. x_train = [1,2,3,4] y_train = [0,-1,-2,-3] #학습에 사용할 Data set 구성 학습에 사용할 data set을..

학습(구)/AI 2020.09.06

TensorFlow의 기본/jupyter notebook 설치

Sung Kim님(김성훈 교수님)의 유튜브를 보고 공부한 AI 입니다. Sung Kim님(김성훈 교수님)의 유튜브 주소 : www.youtube.com/channel/UCML9R2ol-l0Ab9OXoNnr7Lw Sung Kim 컴퓨터 소프트웨어와 딥러닝, 영어등 다양한 재미있는 이야기들을 나누는 곳입니다. www.youtube.com tensorflow를 설치하기 전 python과 pip가 설치되어져 있어야합니다. 저의 컴퓨터는 Mac이므로 mac 기준으로 설명합니다. 저는 python3 가 설치되어 있어 pip3를 사용합니다. 우선 tensorlow를 설치하기전 terminal을 이용해 pip3를 upgrade 시켜줍니다. pip3 install --upgrade pip 그런 다음 pip를 이용해 te..

학습(구)/AI 2020.09.06