Sung Kim님(김성훈 교수님)의 유튜브를 보고 공부한 AI 입니다.
Sung Kim님(김성훈 교수님)의 유튜브 주소 : www.youtube.com/channel/UCML9R2ol-l0Ab9OXoNnr7Lw
Sung Kim
컴퓨터 소프트웨어와 딥러닝, 영어등 다양한 재미있는 이야기들을 나누는 곳입니다.
www.youtube.com
Logistic classification은 Binary Classification으로 2개중 1개를 선택하는 것입니다.
예를 들어 이메일에서는 Spam or Ham으로 구분합니다.
이를 컴퓨터가 알 수 있게 0과 1로 인코딩을 합니다.
그러나 기존 Linear regression을 이용할 경우 문제가 생깁니다.

해당 그림을 보면 기울기에 따라 pass 지점과 fail 지점이 달라지게 되는 문제점이 있습니다.
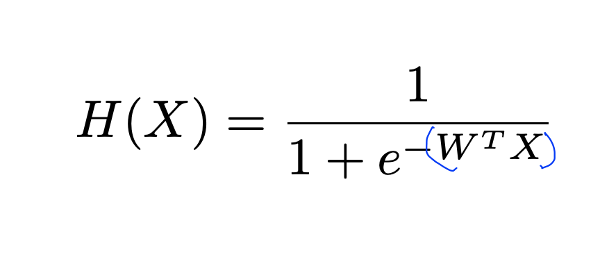
그러므로 기존에 사용하던 가설 식인
H(x) = Wx + b 는 충족을 하지 못하게 됩니다.
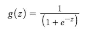
그러므로 해당 하강 기울기를 이용하되 이 값을 다른 식에 대입하여 0~ 1범위를 나타낼 수 있는 식을 찾습니다.
이 식을 sigmoid라고 합니다.

해당 식을 이용하면 z가 아무리 작아져도 0에 가까워지며 아무리 커져도 1에 가까워지게 됩니다.

해당 식을 그래프로 그려보겠습니다.

해당 그래프를 보면 각 시작 지점에 따라 최저점인 끝점이 달라지게됩니다. 해당 지점에서 시작하여 나온 최저점을 local minimum이라고 합니다. 그러나 최종 목표는 모든 최저점 중에서 가장 저점인 gloval minimum을 찾는 것입니다. 그러므로 해당 식을 사용하지 않습니다.

해당식을 사용하여 실제 값이 1일때 가설 값이 1일 경우 cost는 0이 나오게 되고 예측이 틀려 0일경우 무한대로 올라가게 됩니다.
그 반대도 마찬가지로 실제값이 0일때 가설값이 0일 경우 cost는 0이 나오게 되고 예측이 틀려 1일경우 무한대로 올라가게 됩니다.
이 식을 나눠 쓰지 않고 하나로 합쳐보겠습니다.

'학습(구) > AI' 카테고리의 다른 글
| Multinomial classification - SoftMax (0) | 2020.11.10 |
|---|---|
| Logistic classification 실습 (0) | 2020.10.04 |
| Multi-variable linear regression 실습 (0) | 2020.10.04 |
| Multivariable linear regression (0) | 2020.09.10 |
| Linear Regression minimize cost 실습 (0) | 2020.09.07 |