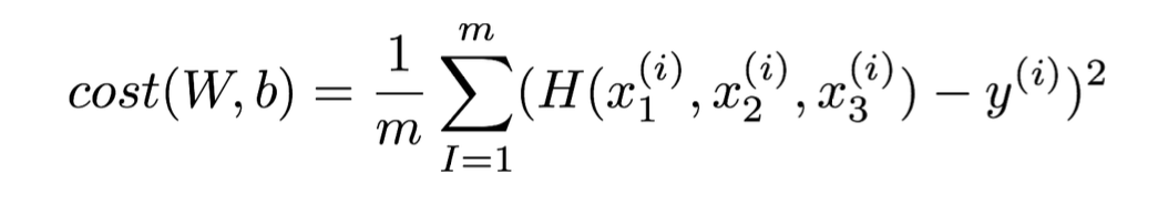
Multivariable은 1개가 아닌 2개 이상의 variable을 가진 dataset을 의미합니다. 일반적인 1 대 1 이였던 가설은 H(x) = Wx + b입니다. 그러나 2개이상의 variable을 가진 dataset의 가설은 H(x1,x2,x3) = w1x1 + w2x2 + w3x3 + b 입니다. cost를 구하는 공식은 다음과 같습니다. x가 여러개일경우 wx의 개수는 x의 개수만큼 늘어나게 됩니다. 그래서 이를 편리하게 하기 위해 Matrix 개념을 사용합니다. Matrix를 가설 공식화 하면 H(x) = xW가 됩니다. 행렬이라고도 하며 행렬의 행을 instance라고 하고 열을 var이라고 합니다. 많은 값을 Matrix로 구성하여 계산을 하면 간편하게 계산이 가능합니다. 첫번째 Mat..