Multivariable linear regression
Multivariable은 1개가 아닌 2개 이상의 variable을 가진 dataset을 의미합니다.
일반적인 1 대 1 이였던 가설은 H(x) = Wx + b입니다.
그러나 2개이상의 variable을 가진 dataset의 가설은
H(x1,x2,x3) = w1x1 + w2x2 + w3x3 + b 입니다.
cost를 구하는 공식은 다음과 같습니다.

x가 여러개일경우 wx의 개수는 x의 개수만큼 늘어나게 됩니다.
그래서 이를 편리하게 하기 위해 Matrix 개념을 사용합니다.

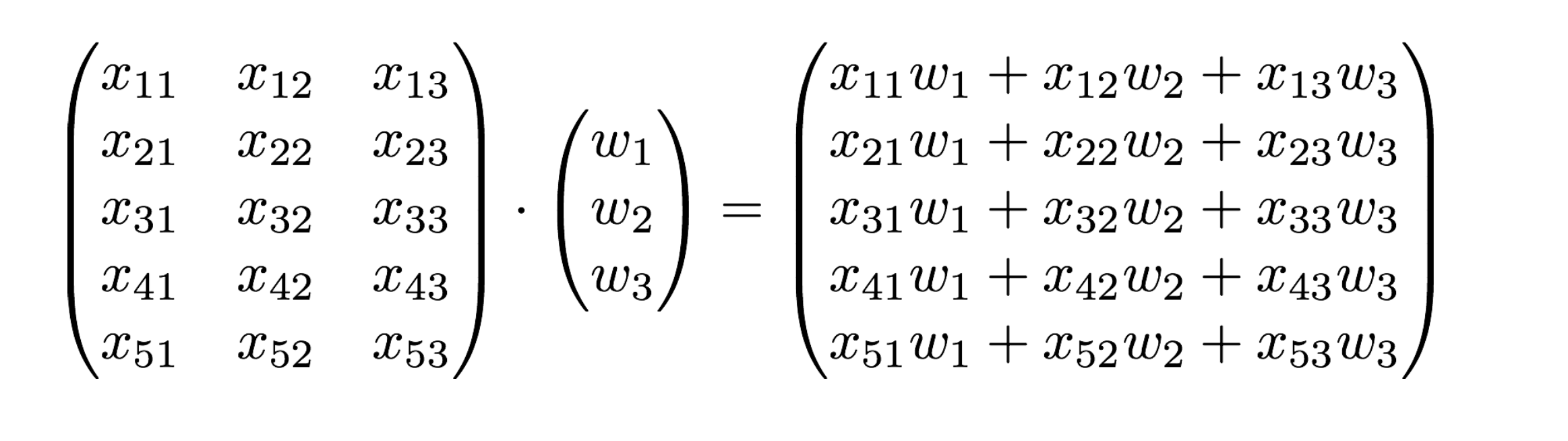
Matrix를 가설 공식화 하면 H(x) = xW가 됩니다.
행렬이라고도 하며 행렬의 행을 instance라고 하고 열을 var이라고 합니다.

많은 값을 Matrix로 구성하여 계산을 하면 간편하게 계산이 가능합니다.
첫번째 Matrix는 [5,3]으로 나타내고 두번째는 [3,1]로 나타냅니다.
첫번째와 두번째 Matrix의 값을 통해 첫번째는 X의 개수인 3, 두번째는 인스턴스의 개수인 3을 제외 하고 합치게 되면 계산 결과의 Matrix인 [5,1]이 나오게 됩니다. 여기서 5는 instance이고 1은 실제값인 Y를 나타내게 됩니다.
우리가 계산할 instance의 개수를 모를 결우 n으로 나타내고 -1이나 None으로 나타내기도합니다.
Matrix 장점
1) Multivariable을 쉽게 처리
2) instance가 많은 경우 N으로 쉽게 처리
3) 출력 값, 즉 Y 가 여러개여도 쉽게 처리
Tensorflow에서 Multivariable의 처리를 위한 Matrix 사용 가설은 H(X) = XW로 나타냅니다.